Sciencey Wiencey: Kill the Moon
Mark McCullough investigates the science and plausibility of Kill the Moon.

When asked to take over the science articles for the site, there seemed to be one obvious place to start. That starting point was the much maligned Kill the Moon which has come under quite heavy criticism for being “scientifically inaccurate”. This is a verdict I don’t particularly agree with, so to try to illustrate this, I have scraped the barrel of what I know to present what is hopefully a reasonable argument. Enjoy.
The Moon is an Egg

The twist that the narrative is based upon is the fact that the moon is the egg of a massive space creature. Of course this is the most preposterous part of the episode as life on that scale would be unsustainable, demands for oxygen and nutrients would be just too great. This becomes especially prevalent in the harsh environment of space. Obviously as a Sci-Fi show which features aliens there are going to be things that cannot be explained, large creatures have already been established on the show with the Star Whale, however this appears to be much bigger again.
The best approach to rationalise the fact that the moon is an egg is to apply it what we know about eggs and reproduction. When we think of an egg there are three distinct parts, the yolk, the white and the shell. If we take each of these and assign them to a part of the creature’s situation we get the following. The external surface of the moon is the shell of the egg, and the creature is the yolk. This leaves the white of the yolk and it is here that I’m going to make a not too unreasonable assumption that this is an amniotic fluid of sorts which gives the creature the nutrition it needs to grow. This would conform to the principle of conservation of mass because as the creature grows the amniotic fluid would be used up. This will become important later in the article.
The Spiders
Bacteria shares a very important relationship with life, quite simply complicated life could not exist without the help of its single celled counterparts. The human bowels are filled with bacteria which help with digestion and such. This is why we take yoghurt drinks, to aid these bacteria and their function. Once more it would not be an unreasonable assumption to state that the creature within the egg also has its own bacterial life to sustain it. A possible function for these creatures could have been digestion of the shell as the creature neared its birth.
This is where we encounter a few problems namely: how do the spiders reach the surface, why are they shaped like spiders, and how does a unicellular organism get so big? The answer to the first part can be explained by the cracks within the crust of the Moon, i.e. the Ocean of Storms allow them to reach the surface where they need to be to act. The second question about the shape is a boring answer: microorganisms have strange shapes anyway. Just look at this photo and you will see a cell which looks akin to a space shuttle.
Finally the size is the hardest part to explain reasonably, we know there is variability in cell size across the animal kingdom, so there is no reason to dispute the fact that we can have large cells. That said to have an individual cell to be visible to the naked eye is extremely unlikely. However if we take into account the proportionality of the average volume of bacteria compared with humans, then extrapolate the number on something the volume of the moon. The maths involved would suggest the spiders are still rather impossibly large, however if volume was used in place of surface area it would be just about feasible.
The Gravity
If you take any two objects of any mass, they will have a force between them which attracts them to each other. This force is called gravity and will exist regardless of the size of the objects. The bigger (in mass) an object is the larger the force of gravity it exhibits will be. The size is not the only thing which determines the strength of gravity, the distance between objects is also an important factor. The greater the distance the weaker the force of gravity will be, conversely the attraction will be greatest between closer objects. For example a man standing on the moon will experience a gravitational force from both Earth and the Moon. However because the Moon is much closer it has the much larger force. Therefore the man is grounded to the moon.
In Kill the Moon, we see Courtney seemingly disobey this fundamental rule. So what could have happened? It is most likely that this was a scientific boo-boo by the narrative; however at a stretch I may be able to explain it. For any object we assume that gravity acts towards the centre of mass, which for a spherical planet would be the centre. However the situation here is quite complex given that the shell of the moon and the creature underneath are two separate objects and thus both exhibit their own gravity. To complicate things further, the creature is moving underneath the moon meaning gravity is constantly in flux. It is also a possibility that on making contact with the shell the force exerted through was enough to temporarily hold Courtney in the air resisting gravity. Either way the explanation is pretty weak, so I’ll leave it up to you to piece together a suggestion if you so wish.
The New Egg
An advance warning at this point in the article, you might want to skip where it says HERE, because this next part has some pretty heavily mathematical concepts and touches on areas of particle physics which are only speculation at this stage.
The principle of wave particle duality, suggests that energy can exist as either a particle or a wave. This means that objects display both the properties of energy and mass. Bearing in mind that both mass and energy have the same laws of conservation, it would appear that new energy and new mass cannot be created, only transferred from one form to another.
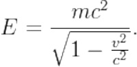
However, when Einstein offered his Theory of Special Relativity, he proposed that mass was actually a form of energy. He further theorised that if you add energy to an object you will increase its mass; likewise an object releasing energy will lead to a reduction in its mass. He defined this relationship with his world famous equation E=mc2 . To put it into word form: The energy released from a system (E) is equal to the change in mass multiplied by the speed of light squared. The speed of light is used because as far as we know within the knowledge of science at the moment, it is the fastest possible speed. However as Doctor Who fans, we know faster than light travel is possible in the Doctor Who Universe. We also know that there are theoretical particles which scientists have considered which can be applied in the Doctor Who Scenario. If you’re still reading at this stage, good luck.
Using the Tachyon, a potential particle which is faster than light, it could not obey Einstein’s Theory of Special Relativity. Therefore the equation needs edited to fit the newly proposed particle. This equation is as follows:

Given the set-up of the equation, the bottom line is always going to be a negative number. This is because if the object is moving faster than light, then v will always be bigger than c. If the top of a fraction is bigger than the bottom it will always have a value of greater than one, which subtracted from one will always be negative. This presents us with a problem as we now have the square root of a negative number, which we know by conventional mathematics is impossible.
There is in fact another branch of maths designed to deal with this occurrence, this is the imaginary number.It might sound like I’m joking, but it is a genuine principle. Basically you remove the negative symbol and proceed as you normally would with a calculation. To compensate for this at the end you must add an ‘i’ to the end of the answer. This simply indicates that the number is an imaginary one. This is something we do not want to be in our final answer as it is simply impossible. The only way to remove it is for there to be an imaginary number on the top line of the fraction too. That way the ‘i’ will cancel as anything common on the top and bottom of a fraction would. For this to happen the only possibility is for the mass of the object to be imaginary, therefore the energy will be a real number.
If you still follow and have made it HERE, you can relax now as it is time to apply it to the situation in Kill the Moon. If we reflect on what happened, once the creature was born, it remained stationary, a new egg appeared and then the creature flew off across the stars. With the above in consideration my suggestion for how this happened without disrupting gravity or the rules of mass and energy conservation is if the following happened. If we assume that the egg was laid as the creature began moving, the energy it expended in moving came together to form the mass of the egg. We also know that there was an increase in mass of the moon from earlier in the episode. This means the speed that the egg was laid will be faster than creature moved and possibly the speed of light. This would make the mass imaginary until the point where the creature was out of Earth’s gravitational pull, thus the gravity did not temporarily double due to the creature and the new moon both being present.
Another point worth mentioning, as explained by Professor Brian Cox in The Science of Doctor Who, faster than light particles can be used to communicate back in time. This is why we would see the new egg before it is actually there.
Conclusion
So there you have it, my suggestions for some of the science-fiction aspects of Kill the Moon. Yes I may have stretched things a little too thinly, but ultimately fiction is the most important word here and episode does at least have a solid scientific grounding, even if it does utilise some poetic license. It should not detract from the episode itself. I look forward to seeing if anyone else has any suggestions of their own in the comments section. Also if you have any preference for the nest episode from series eight to be covered, feel free to shout.


